Converting Natural Log To Log. Log329 ln29 ln3 where ln represents the natural log. To find the natural logarithmic values we can apply numpylog function to the columns. Carrying all numbers to 5 significant figures ln 30 34012 is equivalent to e 34012 30 or 27183 34012 30 Many equations used in chemistry were derived using calculus and these often involved natural logarithms. X ln 16 ln 5 by the change-of-base formula.
In this non-linear system users are free to take whatever path through the material best serves their needs. Log329 ln29 ln3 where ln represents the natural log. X ln 16 ln 5 by the change-of-base formula. 6 to 7 because 2664 and 27128 and 86 is between these 2 values. There is one other log rule but its more of a formula than a rule. For example the function e X is its own derivative and the derivative of LNX is 1X.
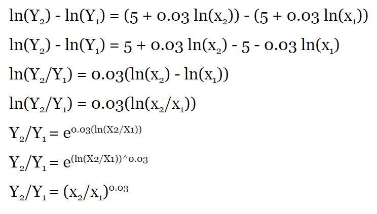
Change in natural log percentage change.
These unique features make Virtual Nerd a viable alternative to private tutoring. To convert a natural logarithm to base-10 logarithm divide by the conversion factor 2303. We read this as log base 2 of 32 is 5. Ln 8 6 ln 8 ln 6. The base of this logarithm is the irrational number e 271828. But for purposes of business analysis its great advantage is that small changes in the.